Publications
A selection of publications is shown below. A full list of publications can be found here.
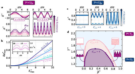
Dielectrocapillarity for exquisite control of fluids
AT Bui, SJ Cox (2025)
Nature Communications (doi: 10.1038/s41467-026-69482-1) ,
[link to publication]
AT Bui, SJ Cox (2025)
Nature Communications (doi: 10.1038/s41467-026-69482-1) ,
[link to publication]
A first-principles approach to electromechanics in liquids
AT Bui, SJ Cox (2025)
J. Phys: Condens. Matter 37 , 285101
[link to publication]
AT Bui, SJ Cox (2025)
J. Phys: Condens. Matter 37 , 285101
[link to publication]
Momentum tunnelling between nanoscale liquid flows
B Coquinot, AT Bui, D Toquer, A Michaelides, N Kavokine, SJ Cox, L Bocquet (2025)
Nature Nanotech. 20 , 397
[link to publication]
B Coquinot, AT Bui, D Toquer, A Michaelides, N Kavokine, SJ Cox, L Bocquet (2025)
Nature Nanotech. 20 , 397
[link to publication]
Learning classical density functionals for ionic fluids
AT Bui, SJ Cox (2025)
Phys. Rev. Lett. 134 , 148001
[link to publication]
AT Bui, SJ Cox (2025)
Phys. Rev. Lett. 134 , 148001
[link to publication]
Symmetry Breaking in the Superionic Phase of Silver Iodide
A Hajibabaei, WJ Baldwin, G Csányi, SJ Cox (2025)
Phys. Rev. Lett. 134 , 026306
[link to publication]
A Hajibabaei, WJ Baldwin, G Csányi, SJ Cox (2025)
Phys. Rev. Lett. 134 , 026306
[link to publication]
Crumbling Crystals: On the Dissolution Mechanism of NaCl in Water
N O'Neill, C Schran, SJ Cox, A Michaelides (2024)
Phys. Chem. Chem. Phys. 26 , 42
(doi: http://dx.doi.org/10.1039/D4CP03115F)
N O'Neill, C Schran, SJ Cox, A Michaelides (2024)
Phys. Chem. Chem. Phys. 26 , 42
(doi: http://dx.doi.org/10.1039/D4CP03115F)
Revisiting the Green–Kubo relation for friction in nanofluidics
AT Bui, SJ Cox (2024)
J. Chem. Phys. 161 , 201102
[link to publication]
AT Bui, SJ Cox (2024)
J. Chem. Phys. 161 , 201102
[link to publication]
A classical density functional theory for solvation across length scales
AT Bui, SJ Cox (2024)
J. Chem. Phys. 161 , 104103
(doi: https://doi.org/10.1063/5.0223750)
AT Bui, SJ Cox (2024)
J. Chem. Phys. 161 , 104103
(doi: https://doi.org/10.1063/5.0223750)
Impedance of nanocapacitors from molecular simulations to understand the dynamics of confined electrolytes
G Pireddu, C Fairchild, S Niblett, S Cox, B Rotenberg (2024)
Proc. Natl. Acad. Sci. USA 121 , e2318157121
(doi: https://doi.org/10.1073/pnas.2318157121)
G Pireddu, C Fairchild, S Niblett, S Cox, B Rotenberg (2024)
Proc. Natl. Acad. Sci. USA 121 , e2318157121
(doi: https://doi.org/10.1073/pnas.2318157121)
The limit of macroscopic homogeneous ice nucleation at the nanoscale
JA Hayton, MB Davies, TF Whale, A Michaelides, SJ Cox (2024)
Faraday Discuss. 249 , 210
(doi: https://doi.org/10.1039/D3FD00099K)
JA Hayton, MB Davies, TF Whale, A Michaelides, SJ Cox (2024)
Faraday Discuss. 249 , 210
(doi: https://doi.org/10.1039/D3FD00099K)
Remembering the Work of Phillip L. Geissler: A Coda to His Scientific Trajectory
GR Bowman, SJ Cox, C Dellago, KH DuBay, JD Eaves, DA Fletcher, LB Frechette, M Grünwald, K Klymko, J Ku, AK Omar, E Rabani, DR Reichman, JR Rogers, AM Rosnik, GM Rotskoff, AR Schneider, N Schwierz, DA Sivak, S Vaikuntanathan, S Whitelam, A Widmer-Cooper (2023)
Annu. Rev. Phys. Chem. 74 , 1
(doi: https://doi.org/10.1146/annurev-physchem-101422-030127)
GR Bowman, SJ Cox, C Dellago, KH DuBay, JD Eaves, DA Fletcher, LB Frechette, M Grünwald, K Klymko, J Ku, AK Omar, E Rabani, DR Reichman, JR Rogers, AM Rosnik, GM Rotskoff, AR Schneider, N Schwierz, DA Sivak, S Vaikuntanathan, S Whitelam, A Widmer-Cooper (2023)
Annu. Rev. Phys. Chem. 74 , 1
(doi: https://doi.org/10.1146/annurev-physchem-101422-030127)
Classical Quantum Friction at Water-Carbon Interfaces
AT Bui, FL Thiemann, A Michaelides, SJ Cox (2023)
Nano Letters 23 , 580
(doi: https://doi.org/10.1021/acs.nanolett.2c04187)
AT Bui, FL Thiemann, A Michaelides, SJ Cox (2023)
Nano Letters 23 , 580
(doi: https://doi.org/10.1021/acs.nanolett.2c04187)
A theory for the stabilization of polar crystal surfaces by a liquid environment
SJ Cox (2022)
J. Chem. Phys. 157 , 094701
(doi: https://doi.org/10.1063/5.0097531)
SJ Cox (2022)
J. Chem. Phys. 157 , 094701
(doi: https://doi.org/10.1063/5.0097531)
Dielectric response of thin water films: a thermodynamic perspective
SJ Cox, PL Geissler (2022)
Chem. Sci. 13 , 9102
(doi: https://doi.org/10.1039/D2SC01243J)
SJ Cox, PL Geissler (2022)
Chem. Sci. 13 , 9102
(doi: https://doi.org/10.1039/D2SC01243J)
Can molecular simulations reliably compare homogeneous and heterogeneous ice nucleation?
D Atherton, A Michaelides, SJ Cox (2022)
J. Chem. Phys. 156 , 164501
(doi: https://doi.org/10.1063/5.0085750)
D Atherton, A Michaelides, SJ Cox (2022)
J. Chem. Phys. 156 , 164501
(doi: https://doi.org/10.1063/5.0085750)
How do interfaces alter the dynamics of supercooled water?
P Gasparotto, M Fitzner, SJ Cox, GC Sosso, A Michaelides (2022)
Nanoscale 14 , 4254
(doi: https://doi.org/10.1039/d2nr00387b)
P Gasparotto, M Fitzner, SJ Cox, GC Sosso, A Michaelides (2022)
Nanoscale 14 , 4254
(doi: https://doi.org/10.1039/d2nr00387b)
Quadrupole-mediated dielectric response and the charge-asymmetric solvation of ions in water
SJ Cox, KK Mandadapu, PL Geissler (2021)
J. Chem. Phys. 154 , 244502
(doi: https://doi.org/10.1063/5.0097531)
SJ Cox, KK Mandadapu, PL Geissler (2021)
J. Chem. Phys. 154 , 244502
(doi: https://doi.org/10.1063/5.0097531)
Microscopic Kinetics Pathway of Salt Crystallization in Graphene Nanocapillaries
L Wang, J Chen, SJ Cox, L Liu, GC Sosso, N Li, P Gao, A Michaelides, E Wang, X Bai (2021)
Phys. Rev. Lett. 126 , 136001
(doi: https://doi.org/10.1103/PhysRevLett.126.136001)
L Wang, J Chen, SJ Cox, L Liu, GC Sosso, N Li, P Gao, A Michaelides, E Wang, X Bai (2021)
Phys. Rev. Lett. 126 , 136001
(doi: https://doi.org/10.1103/PhysRevLett.126.136001)
Macroscopic surface charges from microscopic simulations
T Sayer, SJ Cox (2020)
J. Chem. Phys. 153 , 164709
(doi: https://doi.org/10.1063/5.0022596)
T Sayer, SJ Cox (2020)
J. Chem. Phys. 153 , 164709
(doi: https://doi.org/10.1063/5.0022596)
Dielectric response with short-ranged electrostatics
SJ Cox (2020)
Proc. Natl. Acad. Sci. USA 117 , 19746
(doi: https://doi.org/10.1073/pnas.2005847117)
SJ Cox (2020)
Proc. Natl. Acad. Sci. USA 117 , 19746
(doi: https://doi.org/10.1073/pnas.2005847117)
Finite field formalism for bulk electrolyte solutions
SJ Cox, M Sprik (2019)
J. Chem. Phys. 151 , 064506
(doi: https://doi.org/10.1063/1.5099207)
SJ Cox, M Sprik (2019)
J. Chem. Phys. 151 , 064506
(doi: https://doi.org/10.1063/1.5099207)
Stabilization of AgI's polar surfaces by the aqueous environment, and its implications for ice formation
T Sayer, SJ Cox (2019)
Phys. Chem. Chem. Phys. 21 , 14546
(doi: https://doi.org/10.1039/c9cp02193k)
T Sayer, SJ Cox (2019)
Phys. Chem. Chem. Phys. 21 , 14546
(doi: https://doi.org/10.1039/c9cp02193k)